Base-ring-tree
Base-ring-tree
基环树
概念
基环树是一种特殊的图,我们知道树是由 N 个点,N-1 条边组成的,那么在树上任意两结点之间加上一条边都会产生一个环,我们把这种由 N 个结点、N 条边组成的联通无向图称为基环树。如果不保证联通,也可能是基环树森林。注意,基环树森林中的每个结点都必须有一条边连接起来。如果存在独立的结点,那么很可能其中的一个联通子图中存在两个环,而基环树要求有且只有一个环。
有向基环树图又分为内向树和外向树。
内向树和外向树
所谓内向树的定义是每个点有且只有一条出边。也就是这棵树给人的大体感觉是向内的。
所谓外向树的定义是每个点有且只有一条入边。也就是这棵树给人的大题感觉是外向的。
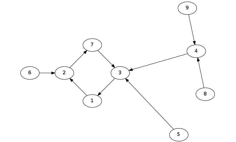
比如上面的基环树,变成内向树就是:

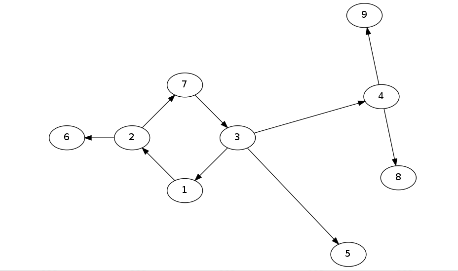
变成外向树就是:

常见题型
一般的题型包括:求基环树的直径(树上两结点之间距离的最大值)求基环树上的动态规划、求基环树两结点之间的距离。
这些模型的解决通法一般是:
断环成树,然后将若干棵树处理好之后,再考虑环对答案的影响。也就是将环、树分开讨论解决问题。这时,用”环套树“这个名词来形容基环树,很是容易理解。
常见解题思路
基环树的最大特征就是有且只有一个环,所以解题(接下来以求基环树的直径为例)时一般从环入手,先找到环。其中找环过程可以用 BFS 的拓扑排序或 DFS 遍历。然后考虑从环上每个结点出发,在不经过环上其他点的情况下求出这棵子树的最长链,以及叶子结点到根结点的最长距离。然后我们知道基环树的直径只可能有以下两种情况:
(1). 树上的最长链出现在子树中。
(2). 环上两棵子树中的叶子结点到另一棵子树的叶子结点经过环。
所以,只在环上再进行一遍 dp(动态规划)把环上的边考虑进来就可以了。
典型例题
骑士
[ZJOI2008] 骑士
题目描述
Z 国的骑士团是一个很有势力的组织,帮会中汇聚了来自各地的精英。他们劫富济贫,惩恶扬善,受到社会各界的赞扬。
最近发生了一件可怕的事情,邪恶的 Y 国发动了一场针对 Z 国的侵略战争。战火绵延五百里,在和平环境中安逸了数百年的 Z 国又怎能抵挡的住 Y 国的军队。于是人们把所有的希望都寄托在了骑士团的身上,就像期待有一个真龙天子的降生,带领正义打败邪恶。
骑士团是肯定具有打败邪恶势力的能力的,但是骑士们互相之间往往有一些矛盾。每个骑士都有且仅有一个自己最厌恶的骑士(当然不是他自己),他是绝对不会与自己最厌恶的人一同出征的。
战火绵延,人民生灵涂炭,组织起一个骑士军团加入战斗刻不容缓!国王交给了你一个艰巨的任务,从所有的骑士中选出一个骑士军团,使得军团内没有矛盾的两人(不存在一个骑士与他最痛恨的人一同被选入骑士军团的情况),并且,使得这支骑士军团最具有战斗力。
为了描述战斗力,我们将骑士按照 至 编号,给每名骑士一个战斗力的估计,一个军团的战斗力为所有骑士的战斗力总和。
输入格式
第一行包含一个整数 ,描述骑士团的人数。
接下来 行,每行两个整数,按顺序描述每一名骑士的战斗力和他最痛恨的骑士。
输出格式
应输出一行,包含一个整数,表示你所选出的骑士军团的战斗力。
样例 #1
样例输入 #1
1
2
3
4
3
10 2
20 3
30 1
样例输出 #1
1
30
提示
数据规模与约定
1 | 3 |
样例输出 #1
1
30
提示
数据规模与约定
1 | 30 |
数据规模与约定
对于 的测试数据,满足 ;
对于 的测试数据,满足 ;
对于 的测试数据,满足 。
对于 的测试数据,满足 ,每名骑士的战斗力都是不大于 的正整数。
AC代码
在存的时候存一下每个人最讨厌的人为他的父亲,对每个没访问的点DFS,在这个没访问的点所在的连通块上找环,找到以后强制不选它的父亲对它进行DP,然后强制不选它对它的父亲进行DP,然后取一个最大值即可,在DP里面,先考虑f[x][0]是不选x,初始值为0,f[x][1]是选x,初值为val[x],这是一个很好的赋值方法然后跑DP就行了。
1
2
3
4
5
6
7
8
9
10
11
12
13
14
15
16
17
18
19
20
21
22
23
24
25
26
27
28
29
30
31
32
33
34
35
36
37
38
39
40
41
42
43
44
45
46
47
48
49
50
51
52
53
54
55
56
57
58
59
60
61
62
63
64
65
66
67
68
69
using namespace std;
int n, cnt;
ll ans;
int root;
ll f[M][2];
int head[M], val[M], vis[M], fa[M];
struct edge {
int pre, to;
} e[M];
inline void add(int from, int to) {
e[++cnt].pre = head[from];
e[cnt].to = to;
head[from] = cnt;
}
void dp(int now) {
vis[now] = 1;
f[now][0] = 0, f[now][1] = val[now];
for (int i = head[now]; i; i = e[i].pre) {
int go = e[i].to;
if (go != root) {
dp(go);
f[now][0] += max(f[go][1], f[go][0]);
f[now][1] += f[go][0];
} else {
f[go][1] = -M;
}
}
}
void find_circle(int x) {
vis[x] = 1;
root = x;
while (!vis[fa[root]]) {
root = fa[root];
vis[root] = 1;
}
dp(root);
ll t = max(f[root][0], f[root][1]);
vis[root] = 1;
root = fa[root];
dp(root);
ans += max(t, max(f[root][0], f[root][1]));
return;
}
int main() {
cin >> n;
for (int i = 1; i <= n; i++) {
int x;
cin >> val[i] >> x;
add(x, i);
fa[i] = x;
}
for (int i = 1; i <= n; i++) {
if (!vis[i]) {
find_circle(i);
}
}
printf("%lld\n", ans);
return 0;
}
在存的时候存一下每个人最讨厌的人为他的父亲,对每个没访问的点DFS,在这个没访问的点所在的连通块上找环,找到以后强制不选它的父亲对它进行DP,然后强制不选它对它的父亲进行DP,然后取一个最大值即可,在DP里面,先考虑f[x][0]是不选x,初始值为0,f[x][1]是选x,初值为val[x],这是一个很好的赋值方法然后跑DP就行了。
1 |
|
- Title: Base-ring-tree
- Author: Charles
- Created at : 2023-08-11 20:29:05
- Updated at : 2026-05-11 20:11:06
- Link: https://charles2530.github.io/2023/08/11/base-ring-tree/
- License: This work is licensed under CC BY-NC-SA 4.0.