 
                
                multiobjective-programming
 
                多目标规划
多目标规划的概念
多目标决策问题是管理与日常生活中经常遇到的问题,而这些目标之间常常是相互作用和矛盾的,如何平衡这些目标,其决策过程十分复杂,决策者通常很难做出最终决策。解决这类问题的建模方法就是多目标决策方法。
简而言之,研究多于一个的目标函数在给定区域上的最优化,称为多目标规划。
多目标规划的目标之间是相互冲突的(不然就不是多目标),是不能将多个目标合并成为一个统一的目标来求解的,这是判断一个问题是否是多目标规划问题的关键
多目标规划模型的组成
- 两个以上的目标函数
- 若干个约束条件
多目标规划模型的建立
 
 
一般来说,多目标规划问题(MP)的绝对最优解是不常见的,当绝对最优解不存在时,需要引入新的“解”的概念。多目标规划中最常用的解为非劣解或有效解,也称为Pareto最优解。
目标函数预处理
在多目标规划中,除去目标函数一般是彼此冲突外,还有另一个特点:目标函数的不可公度性。所以通常在求解前,先对目标函数进行预处理。
- 无量纲化处理:每个目标函数的量纲通常是不一样的,在进行加权求解时由于量纲的不可公度性,需要先进行无量纲化处理。
- 数量级的归一化处理:当各个目标函数的数量级差异较大时,容易出现大数吃小数现象,即数量级较大的目标在决策分析过程中容易占优,从而影响决策结果。
多目标规划求解方法
多目标规划求解的基本思想是——多目标规划转换为单目标规划,分为以下几个方法。
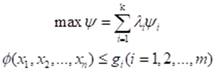
效用最优化模型
思想:规划问题的各个目标函数可以通过一定的方式进行求和运算。这种方法将一系列的目标函数与效用函数建立相关关系,各目标之间通过效用函数协调,使多目标规划问题转化为传统的单目标规划问题:

是与各目标相关的效用函数的和函数。
在用效用函数作为规划目标时,需要确定一组权值λ来反映原问题中各目标函数在总体目标中的权重,即:

其中,权重值和为1:

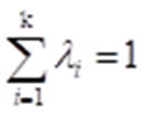
罚款模型(理想点法)
思想: 规划决策者对每一个目标函数都能提出所期望的值(或称满意值);通过比较实际值f_i与期望值f*_i之间的偏差来选择问题的解,其数学表达式如下:

其中λ_i是与第i个目标相关的权重。
约束模型
理论依据 :若规划问题的某一目标可以给出一个可供选择的范围,则该目标就可以作为约束条件而被排除出目标组,进入约束条件组中。
假如,除第一个目标外,其余目标都可以提出一个可供选择的范围,则该多目标规划问题就可以转化为单目标规划问题:

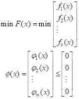
目标达到法
首先将多目标规划模型化为如下标准形式:

在求解之前,先给出与目标函数相对应的一组理想化的期望目标f_i^* (i=1,2,3,…,k),每一个目标对应的权重系数为:ω_i^* (i=1,2,3,…,k),再设γ为一松弛因子,那么多目标规划模型转换为:

用目标达到法求解多目标规划的计算过程,可以通过调用Matlab软件系统优化工具箱中的fgoalattain函数实现。
- Title: multiobjective-programming
- Author: Charles
- Created at : 2023-09-03 10:32:34
- Updated at : 2023-09-03 10:49:43
- Link: https://charles2530.github.io/2023/09/03/multiobjective-programming/
- License: This work is licensed under CC BY-NC-SA 4.0.
 
                 
  