algorithm-buaa-note
北航算法课程笔记
分而治之篇
归并排序
算法流程

分而治之一般步骤
分解原问题:原问题分解成多个子问题
解决子问题:递归地求解各个子问题
合并问题解:将结果合并为原问题解
归并排序伪代码


复杂度分析

递归式求解
递归树法

代入法


主定理法






递归式分析方法比较
| 分析方法 | 优点 | 缺点 |
|---|---|---|
| 递归树法 | 直观形象 | 难以展开 |
| 代入法 | 适用广泛 | 难猜通解 |
| 主定理法 | 形式简洁 | 适用有限 |
最大子数组问题 Ⅰ
子数组是数组 X 中连续的一段序列
形式化定义

一般步骤


伪代码及复杂度分析



本节讲述了三种不同的算法,用于解决最大子数组和问题:
| 算法名称 | 时间复杂度 |
|---|---|
| 蛮力枚举 | $O(n^3)$ |
| 优化枚举 | $O(n^2)$ |
| 分而治之 | $O(n\log(n))$ |
| 动态规划 | $O(n)$ |
逆序对计数问题
逆序对: 当 i<j 时 A[i]>A[j]的二元组(A[i],A[j])





伪代码



在本问题中,我们设计了四个算法:
| 算法名称 | 合并求解复杂度 | 时间复杂度 |
|---|---|---|
| 蛮力枚举 | - | $O(n^2)$ |
| 分而治之+直接计算 | $O(n^2)$ | $O(n^2)$ |
| 分而治之+排序求解 | $O(n\log(n))$ | $O(n\log^2(n))$ |
| 分而治之+归并求解 | $O(n)$ | $O(n\log(n))$ |
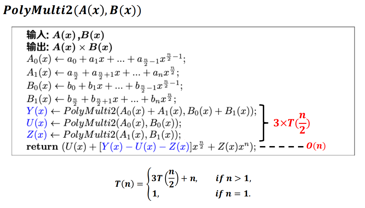
多项式乘法问题

伪代码

本节讲述了三种不同的算法,用于解决多项式乘法问题:
| 算法名称 | 时间复杂度 |
|---|---|
| 蛮力算法 | $O(n^2)$ |
| 朴素的分治 | $O(n^2)$ |
| 改进的分治 | $O(n^{\log(3)})$ |
| 快速傅里叶变换 | $O(n\log(n))$ |
快速排序

伪代码及复杂度分析




排序算法比较
| 算法名称 | 时间复杂度 |
|---|---|
| 选择排序 | $O(n^2)$ |
| 插入排序 | $O(n^2)$ |
| 归并排序 | $O(n\log(n))$ |
| 快速排序 | 最差:$O(n^2)$ 期望:$O(n\log(n))$ |
基于比较的排序,时间复杂度下界为$\Omega (n\log(n)) $
次序选择问题
如何求得数组中第 k 小的元素?


伪代码



| 算法名称 | 最好时间复杂度 | 最坏时间复杂度 | 期望时间复杂度 |
|---|---|---|---|
| 快速排序 | $O(n\log(n))$ | $O(n^2)$ | $O(n\log(n))$ |
| 次序选择 | $O(n)$ | $O(n^2)$ | $O(n)$ |
堆排序和线性时间排序
优化队列
优先队列是一种常用数据结构,支持下述两种操作:
- Insert: 将新元素插入队列中
- Extract-Min:返回队列中最小的元素并将其删除

(二叉)堆
堆可以视为一颗完全二叉树
- 除最后一层节点数可能不满外,其余层数的节点数目均达到最大个数
- 最后一层的节点都连续集中在最左边

| 算法名称 | 时间复杂度(平均) | 时间复杂度(最坏) | 额外空间 | 稳定性 |
|---|---|---|---|---|
| 插入排序 | $O(n^2)$ | $O(n^2)$ | $O(1)$ | 稳定 |
| 选择排序 | $O(n^2)$ | $O(n^2)$ | $O(1)$ | 不稳定 |
| 归并排序 | $O(n\log(n))$ | $O(n\log(n))$ | $O(\log(n))$ | 稳定 |
| 快速排序 | $O(n\log(n))$ | $O(n^2)$ | $O(n\log(n))$ | 不稳定 |
| 堆排序 | $O(n\log(n))$ | $O(n\log(n))$ | $O(1)$ | 不稳定 |
| 计数排序 | $O(n+k)$ | $O(n+k)$ | $O(n+k)$ | 稳定 |
动态规划篇
0-1 背包问题


最大子数组问题

- Title: algorithm-buaa-note
- Author: Charles
- Created at : 2023-12-08 08:16:05
- Updated at : 2024-07-29 14:38:06
- Link: https://charles2530.github.io/2023/12/08/algorithm-buaa-note/
- License: This work is licensed under CC BY-NC-SA 4.0.
recommend_articles
recommend_articles
Comments